Salta para o conteúdo principal
BETTER MINDS STUDIES
BETTER MINDS STUDIES
CT e agora?
Biotecnologia
Cursos
Idiomas
Carta de condução
Livros
Master's Degree
Sobre nós
Conta
Pesquisar
0
Lista de Desejos
0
Carrinho
Introdução
»
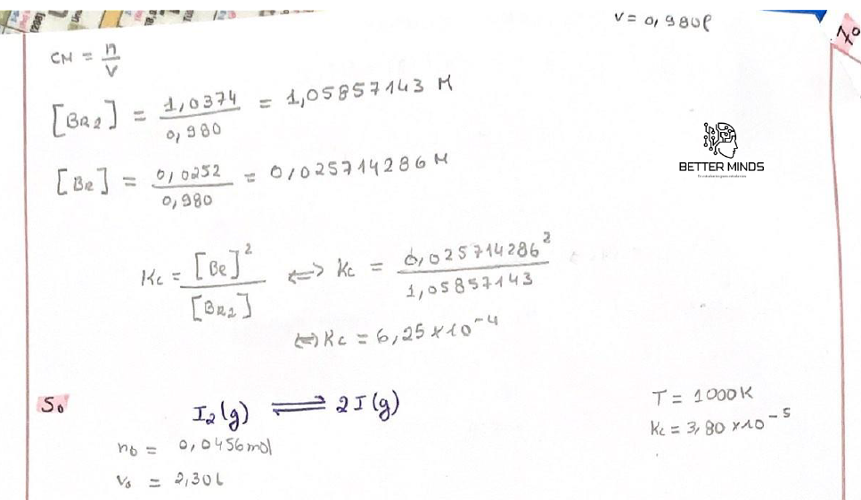
Ficha 1- Equilíbrio químico
Ficha 1- Equilíbrio químico
2,50 €
Quantidade
Adicionar ao carrinho
14 exercícios resolvidos
detalhadamente e explicados.
Partilhar
Compartilhar
Partilhar
Partilhar
O teu feedback é importante!
Classificação: 5 estrelas
1 estrela
2 estrelas
3 estrelas
4 estrelas
5 estrelas
Enviar classificação
1 voto
Já votou.
Adicionar comentário
Nome *
Endereço de e-mail *
Mensagem *
Deixe este campo em branco *
Enviar comentário
Comentários
Ainda não há comentários.
Adicionar comentário
Comentários