Ficha: Variáveis aleatórias reais. Distribuição de probabilidade

2,50 €

Ficheiro com 28 exercícios resolvidos. Inclui exercícios ditados em sala de aula.

Índice

Exercícios resolvidos: 

  • 1. a), b) + exercício ditado pela professora, 
  • 3. a), b) c) + exercício ditado pela professora; 
  • 4. a), b), c) 
  • 5. a) 
  • 6. a) , b), c) + exercício ditado pela professora; 
  • 7. a), b), c) , d), e) 
  • 9. a), b) , c) 
  • 10. a), b); 
  • 11. a), b) 
  • 17; 
  • 18; 
  • 19. b) 
  • 21, a), b) 
  • 26. a), b), c) 
  • 29.
  • 31. a), b) 
  • 34. 
  • 36. a), b), c) 
  • 37. a), b), c) 
  • 38. 
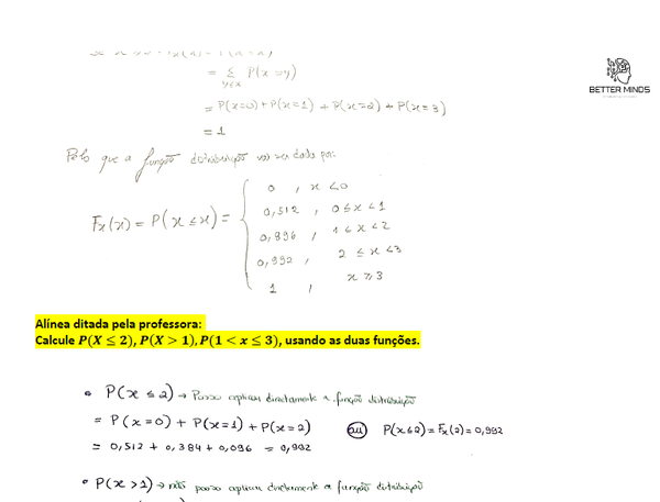
  • Exercício ditado pela professora; 
  • 41. a), b) 
  • 44. a) 

Aula 2- Modelos Contínuos 1.0:

  • Exercício 2 a), b), c), d), e) f) 
  • Exercício 3 a), b), c), d) 

O teu feedback é importante!

Classificação: 0 estrelas
0 votos

Adicionar comentário

Comentários

Ainda não há comentários.